
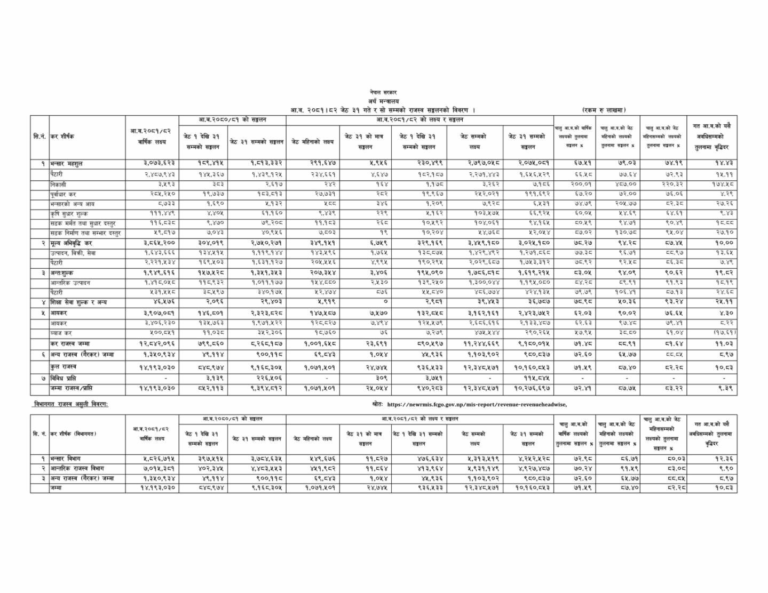
काठमाडौं । चालु आर्थिक वर्षको ११ महिनामा १० खर्ब २७ अर्ब रुपैयाँ राजस्व संकलन गरेको सरकारले गैरकर र वैदेशिक अनुदानसमेत गरेर १० खर्ब ४४ अर्ब रुपैयाँ आम्दानी गरेको छ । आर्थिक वर्ष सकिन १ महिना मात्रै बाँकी रहेको यो अवधिमा सरकारले गरेको यस्तो आम्दानील लक्ष्यको ७० प्रतिशत मात्रै हो ।
यो अवधिसमम्ममा सरकारले गरेको खर्च भने १२ खर्ब ८३ अर्ब रुपैयाँ पुगेको छ । आम्दानीभन्दा २ खर्ब ३९ अर्ब रुपैयाँ बढी खर्च गरेका कारण सरकार घाटामा छ ।
अर्थ मन्त्रालयका अनुसार २०८२ जेठ मसान्तसम्ममा संकलन भएको राजस्व गत वर्षको सोही अवधिको भन्दा ८८ अर्ब रुपैयाँ बढी हो । गत वर्ष यसै अवधिमा ९ खर्ब ३९ अर्ब रुपैयाँ संकलन भएको थियो ।
अहिले संकलित राजस्व लक्ष्यको ८३.२२ प्रतिशत भएको दाबी अर्थ मन्त्रालयले गरेको छ । चालु आर्थिक वर्षको जेठ महिनासम्मको लक्ष्य १२ खर्ब ३४ अर्ब रुपैयाँ थियो ।
चालु आर्थिक वर्षको जेठ महिनामा ९४ अर्ब २ करोड रुपैयाँ राजस्व संकलन भएको छ । गत वर्षको जेठ महिनामा ८५ अर्ब ११ करोड रुपैयाँ राजस्व संकलन भएको थियो ।
अर्थ मन्त्रालय अन्तर्गतकै महालेखा नियन्त्रकको कार्यालयको तथ्यांक अनुसार सरकारले हालसम्म गरेको विकास खर्च १ खर्ब ४३ अर्ब रुपैयाँ रहेको छ । यस्तो खर्च लक्ष्यको जम्मा ४० प्रतिशत मात्रै हो । सरकारले चालु आवमा ३ खर्ब ५२ अर्ब रुपैयाँ खर्च गर्ने लक्ष्य अगाडि सारेको थियो ।
यो अवधिमा चालू खर्च भने ११ खर्ब ४० अर्ब गर्ने लक्ष्य राखेकोमा जेठसम्ममा ८ खर्ब ५१ अर्ब रुपैयाँ गरेको छ । यो खर्च लक्ष्यको तुलनामा ७४ प्रतिशत भएको पनि तथ्यांकले देखाएको छ ।
सवा २६ खर्ब रुपैयाँ ऋणको दायित्वमा रहेको सरकारले वैशाखसम्ममा १२ खर्ब ६६ अर्ब रुपैयाँ आन्तरिक ऋण र १३ खर्ब ५५ अर्ब रुपैयाँ बाह्य ऋण लिएको छ । यस्तो ऋण वैशाखसम्ममा ३ खर्ब ९० रुपैयाँ संकलन थप भएको छ ।
यसमध्ये ३ खर्ब १ अर्ब आन्तरिक ऋण र ८९ अर्ब वैदेशिक ऋण रहेको सार्वजनिक ऋण व्यवस्थापन कार्यालयको तथ्यांकले देखाएको छ ।











प्रतिक्रिया