काठमाडौं । सञ्चालनमा रहेका म्यूचुअल फण्डहरुले माघ महिनाको मासिक रिपोर्ट सार्वजनिक गरेका छन् ।
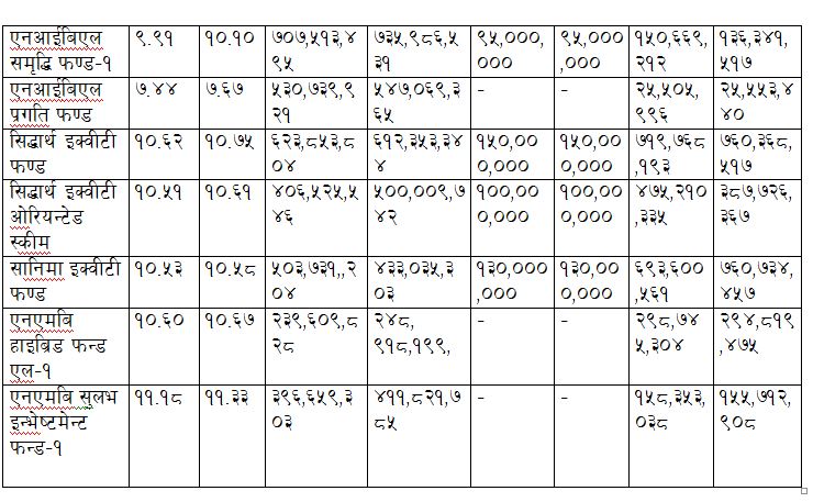
फण्डहरुले सार्वजनिक गरेको अनुुसार यो महिना फण्डहरुको प्रति इकाई खुद सम्पत्ति मूल्यमा निकै गिरावट देखिएको छ । सञ्चालनमा रहेका १३ वटा फण्डहरुमध्ये सबैको खुद सम्पती मूल्यमा गिरावट देखिएको छ ।
जसले निरन्तर ओरालो लागेको सेयर बजारमा कुनै पनि भरथेग गर्न नसकेको देखिएको छ । सञ्चालनमा रहेको १३ वटा फण्डमध्ये सुचिकृत सेयरमा लगानी जम्मा ६ वटाको मात्रै बढेको छ । बाँकी रहेका फण्डहरुको सूचिकृत सेयरमा लगानी घट्दोक्रममा रहेको देखिएको छ ।
सेयर बजारको विकासका लागि भन्दै फण्डको व्यवस्था गरिएको हो । तर फण्डहरुले बजारको विकासका लागि काम गर्नु भन्दा पनि मुद्दती निक्षेपमा पैसा राखेर ब्याज खान पल्केपछि सेयर बजारले फडको मार्न नसकेको लगानीकर्ताहरुको भनाइ छ ।
फण्डको अवधारणा धितोपत्र बजारको विकासका लागि गरिएको हो । अहिले उनीहरुले बजारको विकास भन्दा नाफा मुखी बन्दै जाँदा उनीहरु जे उद्देश्यले स्थापना भएका हुन त्यो हुन नसकेको देखिएको छ ।
फण्डहरुले मुद्दती निक्षेपमा पैसा राखेर ब्याज खाएर बस्ने र सुचिकृत सेयरमा लगानी गर्ने क्रम भने न्यून हुँदै गएको छ । फण्डहरुले सबै पैसा बजारमा लगानी गरेको खण्डमा बजारको विकास हुने र स्थापनाको उद्देश्य पुरा हुने लगानीकर्ताको विश्वास छ ।
यो महिनामा बैंकहरुले ब्याज कम दिने भएर उनीहरुको बैंक मौज्खात पनि घट्ट थालेको छ । १३ वटा फण्ड मध्ये एनआईबिएल समृद्धि फण्ड–१ र सिद्धार्थ इक्वीटी ओरियन्टेड स्कीमको बैंक मौज्दात बढेपनि बाँकी रहेको फण्डहरुको बैंक मौज्दात घटेको देखिएको छ । 






प्रतिक्रिया